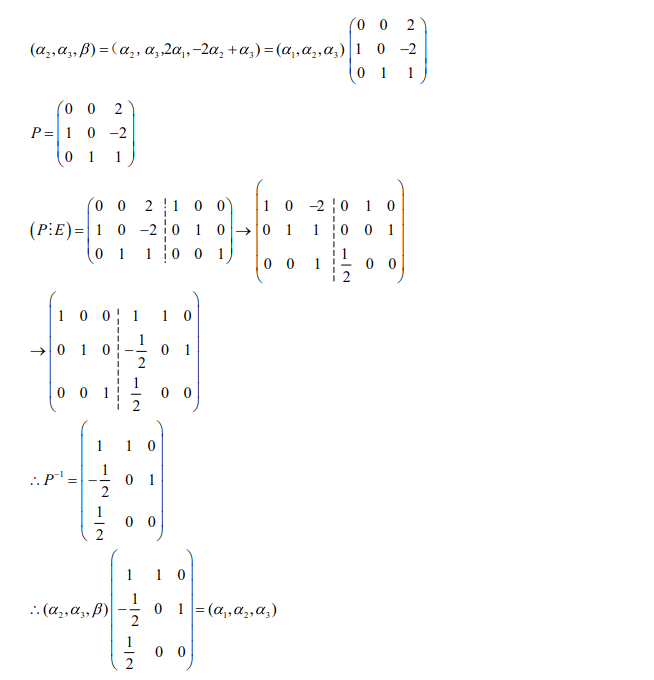
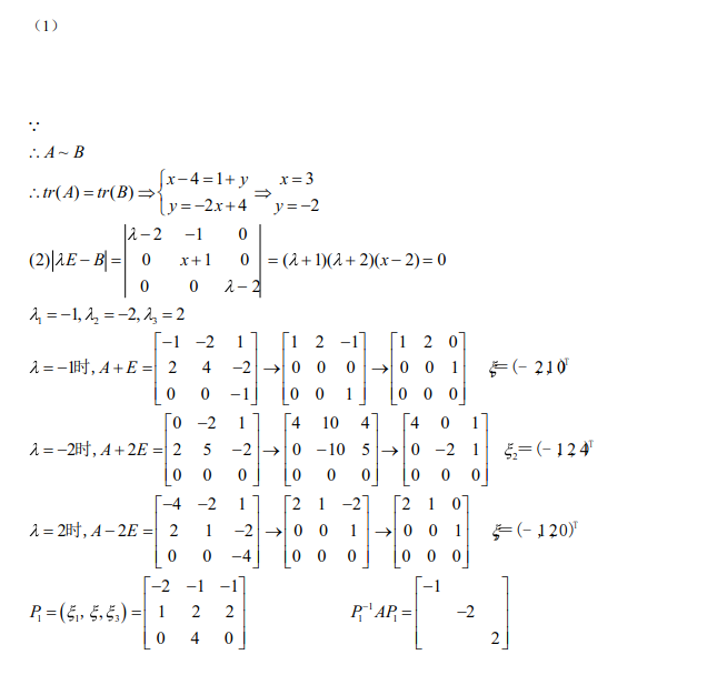
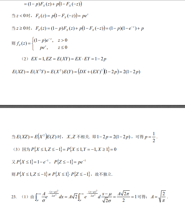
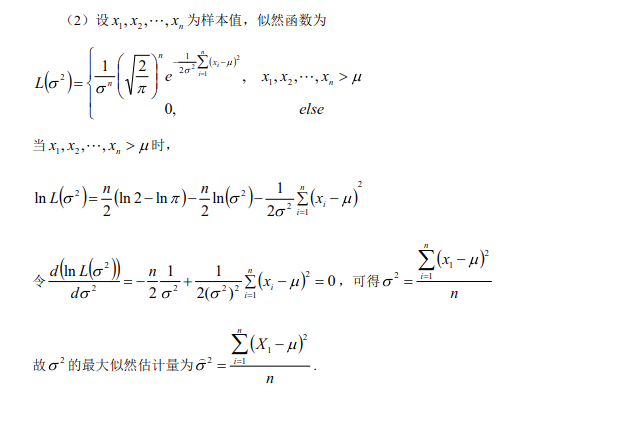
考研数学(一)真题及答案解析
时间:2023-11-07|栏目:考研数学|点击:0 次
2022年的考研初试已落下帷幕,各个科目的考研真题以及答案解析也已新鲜出炉,不管考得如何,只要你认真待之,就无后悔可言,因为它已成为你人生中不可或缺的宝贵经历之一,不时回忆起,也会为那个为了梦想坚持、努力的自己骄傲。下面,深大考研网就为各位考生整理发布2022年各个科目的真题。
|
深圳大学考研热门资讯 |
||
深圳大学考研复试辅导班![]() |
||
考研数学(一)真题及答案解析










深圳大学考研笔记、资料、资讯请登录深大考研网查看最新深大研究生信息
上一篇:考研数学(二)真题及答案解析
栏 目:考研数学
本文标题:考研数学(一)真题及答案解析
本文地址:http://www.szukaoyan.cn/gonggong/shuxue/2444.html
您可能感兴趣的文章
- 11-07考研数学三考试大纲
- 11-07考研数学二考试大纲
- 11-07考研数学一考试大纲
- 11-07考研数学:老师大盘点,你pick谁?
- 11-07考研数学:四大重点题型分析
- 11-07考研:数学备考,需要用到哪些复习资料?
- 11-07考研数学:数三从80到142,两年的教训与经验
- 11-07考研数学:学长学姐推荐的辅导书!
- 11-07考研数学:数一数二数三有什么区别?
- 11-07考研:要想数学好,真题来指导
招生资讯
更多>>考研问题
更多>>- 10-23深大2024年硕士统考报名不符合报考条
- 10-112023年深圳大学MBA新生奖学金颁发仪式
- 04-05常见表格下载(政审表)
- 03-22深圳大学2023年硕士研究生初试成绩查
- 05-24关于研究生《报名登记表》改为《录
- 10-28统考报名2021年硕士生疑问考生名单公
- 09-162020年硕士研究生新生调档的常见问题
- 10-302020年推免生接收情况及可用于统考指
- 10-30深圳大学2020年接收推免生拟录取名单
- 10-30深圳大学2020年硕士报考常见问题









